Підписуйтесь на нас у соціальних мережах
  • Facebook 327 000+
    Найбільша новинна спільнота Закарпаття
  • Telegram 17 400+
    Миттєво повідомляємо про найголовніше
  • Instagram 14 400+
    Тримаємо в курсі всіх подій
  • Відразу сповіщаємо важливі новини
  • Viber 13 000+
    Канал головних новин Закарпаття та України
  • YouTube 2000+
    Не лише розповідаємо, але й показуємо
Реклама на PMG.ua
Більше 4 мільйонів читачів на місяць. Найпопулярніше видання Закарпаття!

Стали відомі зарплати мукачівських чиновників

ВІДЕО ДНЯ

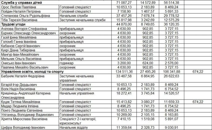
Минулого місяця найбільшу зарплату нарахували начальниці Мукачівського УПСЗН – вдвічі більше за платню мера. У Мукачівській міській раді повідомили узагальнену інформацію про заробітну плату працівників за червень 2018 року.

Так, згідно інформації, яку оприлюднили на веб-сайті міськради, зарплатні нарахування, які вдвічі перевищують оплату праці міського голови, минулого місяця отримала очільниця Управління праці та соціального захисту населення Наталія Зотова – 61 351 грн. 64 коп. У той же час, міському голові Андрію Балозі в червні нарахували заробітну плату в розмірі 27 172 грн. 50 коп.

Реклама

Більше міського голови заробили і його перший заступник та секретар ради. Зокрема, першому заступнику Ростиславу Федіву нараховано 38 754 грн. 35 коп., секретарю ради Івану Маняку – 27 470 грн. 30 коп.

Крім того, платню, яка перевищує суму в 30 тисяч гривень у червні нарахували начальнику Відділу культури Ірині Калій - 43 476 грн. 05 коп. Водночас, слід зазначити, що нарахування головних спеціалістів та секретаря діловода згаданого відділу не перевищили 10 тис. грн.

Читайте також:
Чиновник повідомив, якою має бути зарплата в українців, щоб вони не виїжджали на заробітки

Начальнику Відділу інформаційно-аналітичних комплексів Іван Лендьєл минулого місяця, згідно інформації міськради, заробив 35 108 грн. 87 коп. Зарплатні нарахування у розмірі 30 156грн. 98 коп. отримала і начальник Відділу контролю та організаційного забезпечення діяльності виконавчого комітету та міської ради Ганна Лендьєл.

Також нарахування у розмірі 70 722 грн. 54 коп. із фонду соціального страхування отримала заступник начальника Відділу охорони здоров’я Ольга Гудачок. Водночас, очільниці даного відділу Любові Мандзич нарахували платню в розмірі 58 193 грн. 55коп.

Звісно, суми, які отримано на руки дещо менші, аніж суми нарахувань через утримання із заробітної плати згідно законодавства України.

Скопійовано
Наш сайт використовує файли cookie
Для чого це нам потрібно